# Matplotlib compatibility patch for Pyodide
import matplotlib
if not hasattr(matplotlib.RcParams, "_get"):
    matplotlib.RcParams._get = dict.get

Frequently made mistakes#

../../_images/1.1.svg

1.1 Determine the normal force in bar \(\text{CD}\) and \(\text{AC}\)#

Horizontal support reactions#

../../_images/hor_sup.png
../../_images/hor_sup_3.png

Free body diagrams#

../../_images/FBD_1.png
../../_images/FBD_2.png
../../_images/FBD_3.png
../../_images/FBD_4.png
../../_images/hor_sup_2.png
../../_images/FBD_5.png
../../_images/FBD_6.png
../../_images/FBD_7.png
../../_images/FBD_8.png

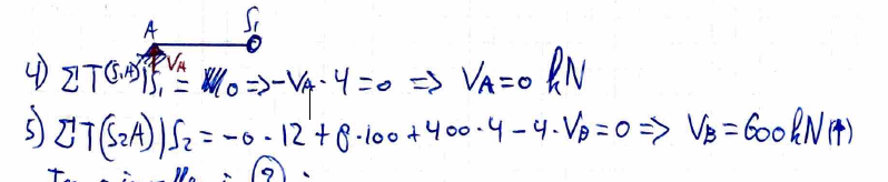
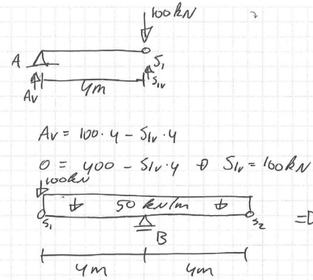
Missing equilibrium equations#

../../_images/miss_eq.png
../../_images/miss_eq2.png
../../_images/miss_eq3.png

Change model#

../../_images/beam.png
../../_images/beam_2.png

Symmetry#

../../_images/symmetry.png

Angles#

../../_images/angles.png
../../_images/angles2.png
../../_images/angles3.png

Moment equilibrium sloped force#

../../_images/sloped.png

Determine the displacement of node \(\text{C}\)#

Area calculations#

../../_images/area.png

Missing Williot#

../../_images/no_wil.png

2.1 Determinate the support reaction at \(\text{D}\)#

../../_images/2.1.svg

FBD and supports#

../../_images/FBD_support.png
../../_images/FBD_support2.png
../../_images/FBD_support3.png

No free body diagram#

../../_images/no_FBD.png
../../_images/no_FBD_2.png
../../_images/no_FBD_3.png

Cut bar around force/hinge and forces in hinges#

../../_images/around_hinge.png
../../_images/around_hinge_2.png
../../_images/around_hinge_3.png

FBD of part of structure#

../../_images/FBD_part.png
../../_images/FBD_part_2.png
../../_images/FBD_part_3.png
../../_images/FBD_part_5.png
../../_images/FBD_part_6.png
../../_images/FBD_part_7.png

Wrong simplification#

../../_images/simp.png
../../_images/FBD_part_4.png

Starting with V-line#

../../_images/V-line.png
../../_images/V-line2.png

Missing equiliubrium relations#

../../_images/miss_eq4.png

2.2 Determinate the bending moment in \(\text{C}\) using virtual work#

Wrong mechanism#

../../_images/wrong_mech.png
../../_images/wrong_mech_2.png
../../_images/wrong_mech_3.png

Mechanism incomplete#

../../_images/mech_incom.png

Displaced mechanism is not allowed#

../../_images/disp_not.png

No virtual work#

../../_images/V-line3.png
../../_images/NO_VW.png

2.5 Draw the bending moment diagram#

Bending moment diagram doesn’t match loads#

../../_images/moments.png
../../_images/moments2.png

2.4 Draw the shear stress distribution just left of \(\text{C}\)#

Wrong formula for \(\tau\)#

../../_images/wrong_tau.png

2.5 Determine the displacement at \(\text{S}_2\)#

Forget-me-not does not apply#

../../_images/wrong_FMN.png